Gå till innehållet

Så kan du som ung vuxen tänka när du ska söka jobb

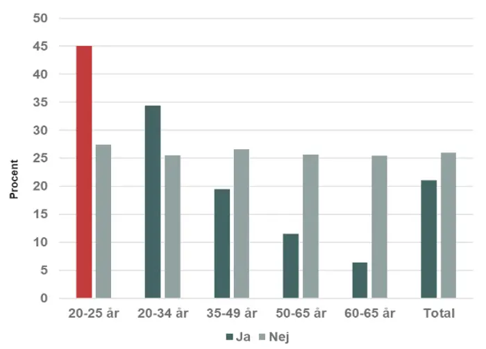
En rapport från Bliwa som gjordes 2025 visar att var femte svensk har tvekat inför att söka jobb det senaste året på grund av höga krav från arbetsgivare. Den grupp som tvekar mest är unga mellan 20 och 25 år. Där uppger nästan varannan att de har tvekat inför att söka jobb de senaste 12 månaderna på grund av att kraven har känts för höga.

Har du någon gång under de senaste 12 månaderna tvekat inför att söka jobb på grund av att kraven har känts för höga?

Anställningsbarhetsrapporten är en ny rapport där den första delen fokuserar på unga och deras syn på sin anställningsbarhet. Undersökningen är genomförd av Verian på uppdrag av Bliwa i den riksrepresentativa och slumpmässigt rekryterade Sifo-panelen. Totalt samlades det in 4 535 svar under perioden 10 december 2024 - 12 januari 2025. Läs mer om rapporten här.

Tänk utanför boxen 

- Mitt råd är faktiskt att söka ändå och tänka utanför boxen i sin ansökan. Samtidigt som jag kan förstå att det kan vara avskräckande att söka när kraven upplevs höga. Men många har säkert andra erfarenheter som praktik, skolarbeten eller fritidsintressen som ger relevanta färdigheter som matchar jobbet. Arbetsgivare söker i grunden en bra person, med rätt personliga egenskaper och rätt inställning. Så låt inte formella krav stå i vägen, säger Daniel Olemyr. 

Stora skillnader i landet

De som tvekat mest att söka jobb på grund av höga krav från arbetsgivare bor i storstadsregionerna. Stockholm toppar med 35 procent. De som tvekat i minst utsträckning bor i Gävleborg. Där uppger endast 13 procent att de tvekat att söka jobb på grund av att kraven från arbetsgivare känts för höga. 

- Med en arbetslöshet som fortsätter att öka är utvecklingen oroväckande. Det verkar finnas ett gap när det gäller förväntningar och krav mellan arbetsgivare och de som söker arbete. Faran är att vi hamnar i ett moment 22 om dessa två perspektiv inte möts. Vi riskerar då att cementera arbetslösheten på en fortsatt hög nivå, säger Daniel Olemyr, kommunikationschef på Bliwa. 

Det största hindren för unga 

Rapporten visar att 45 procent av personer i åldrarna 20–25 år tvekat att söka jobb de senaste 12 månaderna på grund av att kraven har känts för höga. De största hindren som unga upplever är kraven på arbetslivserfarenhet (65 procent), kraven på kompetens (35 procent) och introduktion av AI och de kraven som medföljer på teknisk kompetens och/eller digitala färdigheter (20 procent). 

Guide för dig som nybörjare

Att komma i gång med AI

För många kan AI verka svårt och komplicerat, kanske till och med lite läskigt. Enligt undersökningen Svenskarna och AI  har bara 3 av 10 svenskar tagit steget och testat ett AI-verktyg. Via internetstiftelsen finns bra guider om hur du kommer i gång till exempel med ChatGPT.

Publicerad: 21 februari 2025.